rational expressions worksheet

Mathematics 9 Quadratic Equations and Inequalities. 11 Pictures about Mathematics 9 Quadratic Equations and Inequalities : Multiplying Rational Expressions – 9th Grade Algebra, Operations with Radicals Worksheets and also Rational Expressions Lesson Plans & Worksheets | Lesson Planet.

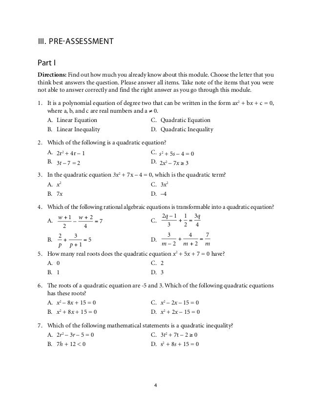
Mathematics 9 Quadratic Equations And Inequalities

Mathematics 9 Quadratic Equations and Inequalities www.slideshare.net

quadratic inequalities assessment algebraic factoring

The Decimals And Fractions Mixed (A) Math Worksheet | Fractions

The Decimals and Fractions Mixed (A) Math Worksheet | Fractions www.pinterest.com

fractions decimals rational pemdas ordering expressions

Exponents Worksheets 8th Grade Pdf Free Exponents Worksheets

Exponents Worksheets 8th Grade Pdf Free Exponents Worksheets emmadonnan.org

grade exponents math multiplication rational exponent polygons linear cbse 6th algebra multiplying

Graphing Rational Functions Reference Sheet (Scaffolded Math And

Graphing Rational Functions Reference Sheet (Scaffolded Math and www.pinterest.com

rational functions graphing expressions matematicas polynomial calculator rationals inequality matematicos asymptote scaffoldedmath mathe nachhilfe intercept didactico aprendizaje bachillerato quadratic simplifying

Multiplying Rational Expressions – 9th Grade Algebra

Multiplying Rational Expressions – 9th Grade Algebra myschoolsmath.com

algebra grade 9th expressions rational multiplying math worksheets printable

Quiz & Worksheet - Rational Exponents | Study.com

Quiz & Worksheet - Rational Exponents | Study.com study.com

worksheet histogram exponents worksheets grade rational quiz histograms middle 6th practice radical exponential expressions expression number study trees following which

Real Numbers - Assignment Point

Real Numbers - Assignment Point www.assignmentpoint.com

numbers assignment rational irrational negative positive include mathematic point assignmentpoint

Operations With Radicals Worksheets

Operations with Radicals Worksheets www.mathworksheets4kids.com

radicals simplifying radical exponents mathworksheets4kids ieee citisia

RATIONAL EXPRESSIONS Math Capsule 1 | Rational Expressions, Math

RATIONAL EXPRESSIONS math capsule 1 | Rational expressions, Math www.pinterest.com

rational

Subtracting Numbers Within 20 Worksheets | Helping With Math

Subtracting Numbers within 20 Worksheets | Helping With Math helpingwithmath.com

subtracting worksheets contains helpingwithmath

Rational Expressions Lesson Plans & Worksheets | Lesson Planet

Rational Expressions Lesson Plans & Worksheets | Lesson Planet www.lessonplanet.com

rational expressions

Rational expressions. Grade exponents math multiplication rational exponent polygons linear cbse 6th algebra multiplying. Quiz & worksheet